flg-icon English (India)
What is purchasing power parity (PPP)?

What is purchasing power parity (PPP)?

calendar 31/10/2023 - 08:09 UTC

Purchasing power parity, or PPP for short, is a macroeconomic measurement of the quality of life in one country or one dependency on its central bank in comparison to the other. This is calculated by dividing the cost of a “basket of goods” in the first place by the other. The basket of goods is usually made of common items and services on the consumer market. They typically include food and beverages, housing, apparel, transportation, medical care, recreation, education, and communication costs. Here is an example from the UK Office for National Statistics on how different countries calculate and adjust it for inflation. Despite them differing from one person’s need to the next, it is a good measure of costs between the two different economies. It is widely used by economists to estimate global growth as well as global productivity.

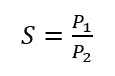
This makes calculating PPP quite a simple equation:

Simple Equation

 

S = The foreign exchange rate of the currency pair of 1 & 2.

P1 = The cost of the basket of goods in the first currency.

P2 = The cost of the basket of goods in the second currency.

The further the number from 1, the higher the quality of life is different between the two countries. Furthermore, it can gauge things that show the strength of one economy compared to the other as purchasing power parity can indicate things like gross domestic product (GDP), labor productivity, consumption, and cost of living. Since the global supply chain makes economies more interconnected than ever before, an economy’s GDP is more reliant on global trade. You can the OECD’s (Organization for Economic Cooperation and Development) data to compare countries and see how they are projected to change, somewhat causal with their ability to trade. This makes transaction costs, and in turn forex currency rates, more influential than ever on the success of an economy.

At the same time, some experts believe that purchasing power parity is not a good measurement of gross domestic product even when the latter is sometimes adjusted from the former. This is because GDP does not consider things like the cost of living and inflation rates that PPP does. Still, purchasing power parity does not consider differences in local taxes and tariffs, government economic policies, and the presence of local competition. This makes PPP somewhat of a flawed measurement to compare the cost of living. To combat the fact that the basket of goods might not be the same in each country, macroeconomists may extrapolate PPP from a limited range of goods and services, leading to populist picks such as a “McDonald’s” Big Mac Index that even takes fewer factors into considerations like costs of real-estate, local regulation of foreign businesses, even portion sizes, and so on. Despite its dubious and somewhat comical index compared to the broader PPP, even The Economist is keeping track of it. Purchasing power parity per capita can show things like inequality that are not measured in it either. This makes purchasing power parity an individualistic measurement as much as a macroeconomic one since it paints the standard of living with a thicker brush than it should.

What is PPP? & what is GDP?

PPP is power purchasing parity. Wikipedia defines it as a measurement of the standard of living used to make macroeconomic calculations to forecast an economy’s growth and size.

GDP is gross domestic product. According to the International Monetary Fund (IMF), it is the total value of goods and services that a certain economy has produced.

GDP is usually adjusted for inflation, but it does not consider the economy under the table. It cannot be measured, and it can only be estimated to be as high as 30% in some countries like Mexico according to World Economies due to government regulations. On top of that, calculating GDP in absolute terms does not consider things that purchasing power parity (PPP) does. This is why some economists go further to adjust GDP for PPP. This makes the comparison between countries’ and dependencies’ GDP far more accurate. The World Bank has made an in-depth and clear analysis of it in comparison of different countries and their standards of living when compiling different metrics, including things like energy consumption and emissions. In a global economy, power is key to making an economy grow and to keep a standard of living improving too.

Here is an example provided by Investopedia as they collected data from the International Monetary Fund (IMF). The comparison shows a large difference between GDP by PPP and nominal GDP because the former takes the currency exchange into account.

 

PPP Impact on Markets

Despite purchasing power parity being somewhat of a flawed macroeconomic metric, it is used by many international economic institutions to set comparisons between different economies. The World Bank, the International Monetary Fund (IMF), and the OECD (Organization for Economic Cooperation and Development) among other organizations according to the World Bank itself. This gives weight to forecast using PPP and sets economic policy in turn. This can have short-term effects on certain countries and the instruments traded in their exchanges.

As an aside, the forex currency of the US Dollar to the local currency is also used as a measurement. This shows the importance of the US economy on global supply lines and economic growth worldwide, and its influence on forecasting instruments not only from domestic exchanges but also from instruments all around the world that rely on global cooperation. This is because the common currency used is the US Dollar, gaining the nickname, the International Dollar for it. Despite attempts from other economies, JP Morgan, one of the largest investment banks in the world, reports the US Dollar is not going anywhere as the main forex currency in the world, and in turn, the base currency used for purchasing power parity measurements.

 

PPP in Trading

We can reverse engineer that way of thinking and use the purchasing power parity of a certain economy to forecast with somewhat greater certainty. We can partially forecast how instruments from certain countries may behave as purchasing power parity changes. With volatile instruments like forex, this can be a way to do so with long-term strategies to potentially find some overvalued currencies or some undervalued currencies to sell or buy respectively. Traders may also use PPP-based forecasts to impact indices and stocks since they can be extrapolated from what PPP is.

 

So Relocation?

On a more personal note, some people may see the purchasing power parity (PPP) as an indicator of where they should live given their circumstances. Certain economies will have a much higher purchasing power parity than others. A country’s purchasing power parity will be in line with the local average income as how much can a person bring in is part of how much they can purchase. For example, according to Business Today India, India has the 3rd largest purchasing power parity in the world. This shows that India is relatively more accessible than other countries in terms of a basic standard of living.

However, that number can even be magnified by working remotely in one richer economy while working in a weaker economy. This may significantly increase the personal purchasing power parity, and the quality of life, as they can purchase more in a cheaper place with an expensive place’s salary and income. This is why there are so many remote workers and digital nomads that use that economic principle to their benefit. Back to the example, Citizen Remote rates India as one of the best places for digital nomads in the world because of the country’s high purchasing power parity and high stability.

As an online trader, you have the benefit of trading instruments like indices and stocks from other economies without being in that country with CFDs (contracts for difference). They let any trader own instruments which are not easily accessible to people in other countries without the need for relocation. You can learn more about CFDs on iFOREX India as the platforms let you trade in over 750 CFDs.

 

Conclusion

Purchasing power parity, or PPP for short, is a way to measure the different costs of basic goods and services in their local currencies, comparing them to the International Dollar (the US Dollar in its new monicker for its international importance). It is used by both international economic organizations as well as individual traders to forecast the movement of various global instruments that rely on international trade like forex currency pairs, indices, and single stocks.

Purchasing power parity by itself can show fluctuations of instruments in broad strokes, but a lot of variables are not taken into effect by that macroeconomic measurement. Therefore, it is best to consider it as a tenuous recommendation rather than sage advice when trading based on it. However, it can be the first breadcrumb in a trail of finding information that will help you forecast the short-term fluctuations of instruments exchanged and/or originating from certain countries and dependencies. When you are on an online trading platform like iFOREX, you have the benefit of trading in hundreds of instruments from dozens of economies, many of which will be influenced by decisions of economic organizations that consider purchasing power parity (PPP), leading to greater impact than the measurement itself.

The materials contained on this document should not in any way be construed, either explicitly or implicitly, directly or indirectly, as investment advice, recommendation or suggestion of an investment strategy with respect to a financial instrument, in any manner whatsoever. Any indication of past performance or simulated past performance included in this document is not a reliable indicator of future results. For the full disclaimer click here.

Want to learn more about CFD trading?

Join iFOREX to get an education package and start taking advantage of market opportunities.

A beginner's e-book A beginner's e-book
$5,000 practice demo account< $5,000 practice demo account
A 12-part video course A 12-part video course
Register now